The ins and outs of quantum dynamics
Integrability,
from Newton's cradle to Gibbs' grave

Polish Academy of Sciences

Warsaw, 14 November 2025

Jean-Sébastien Caux

Institute of Physics
University of Amsterdam

Plan of the talk


Out-of-equilibrium: why?

Why NOT?

  • Real systems equilibrate very rapidly
  • Experimentally: tough to control
  • Theoretically: can't do it - toolbox too limited

Why INDEED?

  • Real isolated systems can equilibrate slowly
  • Novel states & properties
  • Experimentally: frontier of current capabilities
  • Theoretically: the toughest challenge around?

Mechanical
motivation

Out of equilibrium: categories

  • local, gentle (linear response)
  • local, hard (nonlinear response)
  • local, gentle, repeated
  • local, hard, repeated
  • local, gentle, erratic
  • local, hard, erratic
  • extended, one-time
  • extended, repeated regularly
  • extended, erratic

Out of equilibrium: terminology

pat • pet • stroke
to touch or handle in a tender manner
jumble • muss • rumple
to undo the proper order or arrangement of
jiggle • joggle • jolt • wobble
to make a series of small irregular or violent movements
jerk • twitch • yank
to move or cause to move with a sharp quick motion
beat • pulse • throb
to expand and contract in a rhythmic manner
swish • wag • whisk
a quick jerky movement from side to side or up and down
bump • knock • ram
to come into usually forceful contact with something
slam • smack • thump • whack • bludgeon • clobber • thwack
to deliver a blow usually in a strong vigorous manner
batter • pelt • pound • pummel • wallop
to strike repeatedly

Out of equilibrium: what? how?

Probed
  • Neutron scattering
  • Bragg spectroscopy
  • Transport
  • Linear response
  • Traditional methods
  • CFT, Bosonization, ...
Pulsed
  • Magnetic resonance
  • Photoemission
  • Ultrafast spectr.
  • Free models
  • Numerics
  • Nonlinear response theory
Quenched
  • Feshbach resonances
  • Integrability
  • Hydrodynamics ($t\rightarrow \infty$)
  • GGE ($t = \infty$)
  • Quench Action ($\forall t$)
Driven
  • Masers/lasers
  • Resonators
  • Free models
  • Floquet theory
  • Numerics
  • Despair?

Out-of-equilibrium using Integrability

Pulsed
  • Split Fermi seas (Moses states)
  • Spin echo in quantum dots
  • Quasisolitons
Quenched
  • The super Tonks-Girardeau gas
  • Interaction quench in Richardson
  • Domain wall release in Heisenberg
  • Geometric quench
  • Interaction cutoff in Lieb-Liniger
  • Release of trapped Lieb-Liniger
  • BEC to Lieb-Liniger quench
  • Quantum Newton’s Cradle in TG
  • Néel to XXZ quench
  • Generalized hydrodynamics
Driven
  • Floquet driven spin chains

Quantum Gases

The Lieb-Liniger Model

$ H = \int_0^L dx \left[ \partial_x \Psi^{\dagger}(x) \partial_x \Psi(x) + c \Psi^{\dagger} (x) \Psi^{\dagger}(x) \Psi(x) \Psi(x) \right] $

Eigenstates: Bethe Ansatz

\[ \begin{align} \Psi_N(\{ x \} | \{ \lambda \}) &= \prod_{N \geq j_1 > j_2 \geq 1} sgn(x_{j_1} - x_{j_2}) sgn (\lambda_{j_1} - \lambda_{j_2}) \times \\ &\times \sum_{P \in \pi_N} (-1)^{[P]} e^{i \sum_{j=1}^N \lambda_{P_j} x_j + \frac{i}{2} \sum_{N \geq j_1 > j_2 \geq 1} sgn(x_{j_1} - x_{j_2}) \phi (\lambda_{P_{j_1}} - \lambda_{P_{j_2}})} \end{align} \]

in which $\phi(\lambda) \equiv 2\mbox{atan}(\lambda/c)$

The Lieb-Liniger Model

Rapidities must obey the Bethe equations:

$ e^{\mathrm{i}\lambda_j L} = \prod_{\substack{{\tiny l=1} \\ {\tiny (l\neq j)}}}^{\tiny N} \frac{ \lambda_j - \lambda_l + \mathrm{i}c}{\lambda_j - \lambda_l - \mathrm{i}c} $

Eigenvalues of conserved charges:

$ Q_n\left(\{\lambda\}_N\right) = \sum_{j=1}^N \lambda_j^n, \quad n = 1,2,\ldots $

with in particular $P = Q_1, E = Q_2$.

The Lieb-Liniger Model

Description using the Algebraic Bethe Ansatz

\[ \tau(\lambda) = tr T(\lambda), \hspace{5mm} T(\lambda) = \left( \begin{array}{cc} A(\lambda) & B(\lambda) \\ C(\lambda) & D(\lambda) \end{array} \right), \hspace{5mm} | \Psi_N \left( \left\{ \lambda \right\}_N \right \rangle = \prod_j B(\lambda_j) | 0 \rangle \]

Matrix elements of physical operators known from:
  • Gaudin formula for state norm

    \[ \langle \{ \lambda \} | \{ \lambda \} \rangle = c^N \prod_{j > k} \frac{\lambda_{jk}^2 + c^2}{\lambda_{jk}^2} \mbox{det} \left[ \delta_{jk} \left(L + \sum_l K_{jl} \right) - K_{jk} \right], \hspace{10mm} K_{jk} = \frac{2c}{\lambda_{jk}^2 + c^2} \]

  • solution of inverse problem $A, B, C, D \leftrightarrow \psi(x), \psi^\dagger(x)$
  • Slavnov formula for $\langle 0 | \prod_j C(\lambda_j) \prod_k B(\mu_k) | 0 \rangle$

The Lieb-Liniger Model

(Dynamical) Correlation functions

\[ {\cal S}^{a \bar{a}} (k, \omega) \equiv \frac{1}{N} \sum_{j, j'} e^{-i k(j-j')} \int_{-\infty}^\infty dt e^{i\omega t} \langle \frac{1}{2} \left[ {\cal O}^a_j (t), ({\cal O}^a_{j'} (0))^\dagger \right] \rangle \]

Simplest examples:

  • Dynamical structure factor: ${\cal O}_j = \rho_j \equiv \Psi^\dagger(x_j) \Psi(x_j)$
  • One-body function (Green's): ${\cal O}_j = \Psi(x_j)$ or $\Psi^\dagger(x_j)$

Dynamical structure factor
from (algebraic) Bethe Ansatz

Abacus (post Achilles)

Abacus_Explorer.png

Dynamical structure factor
from (algebraic) Bethe Ansatz



The ABACUS algorithm


Dynamical structure factor from Bethe Ansatz

extension to finite T

M. Panfil and J-SC, PRA 89 (2014)

Lieb-Liniger using cold atoms (I)

Lieb-Liniger using cold atoms (II)

Let's

Interaction quench in Lieb-Liniger

We will consider a sudden switch of the interaction:

$ c (t) = \left\{ \begin{array}{ll} c_i & t < 0, \\ c_f & t > 0 \end{array} \right. $

starting in ground/(any eigen)state of $H(c_i)$ at $t < 0$

For many reasons, this is a complicated problem...

  • GGE logic fails, charges have $\infty$ exp. values
  • approaches using regularizations (q-bosons, extended charges, ...): no complete solution

The strategy

We write the initial state in the basis of the eigenstates of $H(c_f)$, denoted as $\left\{ |\{\lambda\}^{(n)}_N\rangle \right\}, n = 0, 1, ...$

The initial state is obtained as a linear decomposition weighed by exact overlaps:

$ |\Psi_i\rangle = \sum_{n=0}^\infty |\{\lambda\}^{(n)}_N\rangle \underbrace{\langle \{\lambda\}^{(n)}_N | \Psi_i\rangle}_{\text{the overlaps}} $

Exact time-evolved state:

$ |\Psi_i(t)\rangle \equiv e^{-iH(c_f)t} |\Psi_i\rangle = \sum_{n=0}^\infty e^{-\mathrm{i}E(\{\lambda\}^{(n)}_N)t} |\{\lambda\}^{(n)}_N\rangle \langle \{\lambda\}^{(n)}_N | \Psi_i\rangle $

The Quench Action

Setup

The initial state is decomposed in the basis of post-quench Hamiltonian eigenstates:

$ |\Psi (t=0) \rangle = \sum_{\{ I \}} e^{-S^\Psi_{\{ I \}}} | \{ I \} \rangle, $

with overlaps encoded in the coefficients

$ S^\Psi_{\{ I \}} = -\ln \langle \{ I \} | \Psi (t=0) \rangle ~\in ~\mathbb{C} $

Exact time-dependend expectation values:

$ \bar{\cal O} (t) = \frac{ \sum_{\{ I^l \} } \sum_{\{ I^r\}} e^{-(S^\Psi_{\{ I^l\}})^* - S^\Psi_{\{ I^r\}} + i (\omega_{\{ I^l\}} - \omega_{\{ I^r\}})t} \langle \{ I^l \}| {\cal O} | \{ I^r \} \rangle}{\sum_{\{ I \}} e^{-2\Re S^\Psi_{\{ I \}}}} $

Going to the thermodynamic limit

Summations over eigenstates are replaced by functional integrals

$ \lim_{Th,reg} \sum_{\{ \rho_i \}} (...) = \int_{\rho_{sm} \in C^\infty} D\rho_{sm} (...) $

Normalization sum (trivially 1) represented as

$ \lim_{Th,reg} \langle \Psi (t) | \Psi (t) \rangle = \int D\rho_{sm} ~ e^{-S^Q[\rho_{sm}]} $

where the Quench Action is defined as

$ S^{Q}[\rho] = S^o[\rho] - S^{YY}[\rho] $

Time-dependent expectation values

In ThLim, saddle-point evaluation $\left. \frac{\delta S^Q[\rho]}{\delta \rho} \right|_{\rho_{sp}} = 0$ exactly gives full time evolution of observables:

$ \begin{align} \lim_{Th,reg} \bar{\cal O} (t) = \lim_{Th,reg} \frac{1}{2} \sum_{\bf e} \left[ e^{-\delta S_{\bf e}[\rho_{sp}] - i \omega_{\bf e}[\rho_{sp}] t} \langle \rho_{sp} | {\cal O} | \rho_{sp}; {\bf e} \rangle \right. \nonumber \\ \left. + e^{-\delta S^*_{\bf e}[\rho_{sp}] + i \omega_{\bf e}[\rho_{sp}] t} \langle \rho_{sp}; {\bf e} | {\cal O} | \rho_{sp} \rangle \right] \end{align} $

provided the
operator ${\cal O}$ is

  • weak
  • smooth
  • thermodynamically finite

The BEC to Lieb-Liniger quench

Initial state: ground state of free bosons

$ | \Psi_0 \rangle = \frac{1}{\sqrt{L^N N!}} \left(\psi_{k=0}^\dagger\right)^N | 0 \rangle $

Exact overlaps with finite $c$ Lieb-Liniger states:

$ \langle \Psi_0 | \{ \lambda \}_{N/2} \cup \{ -\lambda \}_{N/2} \rangle = \left[ \frac{(cL)^{-N} N!}{\mbox{det}_N G_{jk} }\right]^{1/2} \frac{\mbox{det}_{N/2} G^Q_{jk}}{\prod_{j=1}^{N/2} \frac{\lambda_j}{c} \left[ \frac{\lambda_j^2}{c^2} + \frac{1}{4} \right]^{1/2}} $

in which $G_{jk}$ is the Gaudin matrix

$ G_{jk} = \delta_{jk} \left[ L + \sum_{l=1}^N K (\lambda_j, \lambda_l) \right] - K(\lambda_j, \lambda_k) $

Exact solution using Quench Action

$ S^Q = L\int_0^\infty d\lambda \rho(\lambda) \log\left(\frac{\lambda^2}{c^2} \left( \frac{1}{4} + \frac{ \lambda^2}{c^2} \right) \right) + S^{YY} $

Saddle-point equation:

$ \ln \eta(\lambda) = g(\lambda) - h - \int_{-\infty}^\infty \frac{d\lambda'}{2\pi} K (\lambda - \lambda') \ln \left[ 1 + \eta^{-1}(\lambda') \right], $

with driving term $ g(\lambda) = \ln \left[ \frac{\lambda^2}{c^2} \left( \frac{\lambda^2}{c^2} + \frac{1}{4} \right) \right] $

Analytic solution for steady state:

$ \begin{align} \rho_{sp} (\lambda) &= -\frac{\gamma}{4\pi} \frac{1}{1 + a(\lambda)} \frac{\partial a(\lambda)}{\partial \gamma},\\ a(\lambda) &\equiv \frac{2\pi}{\frac{\lambda}{n} \sinh \frac{2\pi \lambda}{c}} I_{1 - 2i\frac{\lambda}{c}} \left(\frac{4}{\sqrt{\gamma}}\right) I_{1 + 2i\frac{\lambda}{c}} \left(\frac{4}{\sqrt{\gamma}}\right) \end{align} $

Exact solution using Quench Action

Steady state distribution: non-thermal
J. De Nardis, B. Wouters, M. Brockmann & J-SC, PRA 89, 2014

Numerical Renormalization approach
to the interaction quench
in Lieb-Liniger

Neil Robinson, Bart de Klerk + JSC

Viewed as a perturbation

$ H(c_i) = H(c_f) + (c_i - c_f) \int_0^L dx \Psi^\dagger(x)\Psi^\dagger(x)\Psi(x)\Psi(x) $

Matrix elements of the original Hamiltonian in the computational basis of post-quench eigenstates:

$ \begin{align} \langle \{\lambda\}^{(m)}_N | H(c_i) | \{\lambda\}^{(n)}_N \rangle &= \delta_{n,m} E\big(\{\lambda\}^{(n)}_N \big) + \\ &+ (c_i - c_f) L\, \langle \{\lambda\}^{(m)}_N | \big(\Psi^\dagger(0)\big)^2 \big( \Psi(0) \big)^2 |\{\lambda\}^{(n)}_N\rangle \end{align} $

Said otherwise, we perturb the system
with the operator

$ g_2(0) = \big( \Psi^\dagger(0)\big)^2 \big(\Psi(0)\big)^2 $

Truncated Spectrum Approach

Idea: truncate Hilbert space to low-E sector using cutoff $\Lambda$, then diagonalize numerically

GSE for protocol $c_i = 20$, $c_f = 10$, $N = 10$

NRG + TSA

The overall workflow:

  • Construct the computational basis $\{ |\{\lambda\}^{(j)}\rangle\}$ and order by energy $E(\{\lambda\}^{(j)})$
  • Construct the Hamiltonian with the lowest $N_s+\Delta N_s$ states: $ \begin{align} \Big\{ |\{\lambda\}^{(1)}\rangle, \ldots, |\{\lambda\}^{(N_s+\Delta N_s)}\rangle\Big\}, \end{align} $ and diagonalize it, obtaining approximate energies and eigenstates $ \begin{align} \Big\{ |E^{(1)}\rangle, \ldots , |E^{(N_s+\Delta N_s)}\rangle \Big\}. \end{align} $
  • Discard the highest $\Delta N_s$ approximate eigenstates $ \begin{align} \Big\{|E^{(N_s+1)}\rangle,\ldots,|E^{(N_s+\Delta N_s)}\rangle\Big\}, \end{align} $ and form a new basis with the lowest $N_s$ approximate eigenstates and the next $\Delta N_s$ lowest states in the computational basis.
  • Construct the Hamiltonian in the new basis, and diagonalize to obtain new approximate eigenstates.
  • Return to the third step.

Harmonically trapped Lieb-Liniger

JSC & R. M. Konik, Phys. Rev. Lett. 109, 175301 (2012)

c=7200
c=1

Interaction quench: GSE from NRG + TSA

Neil Robinson, Bart de Klerk + JSC,  SciPost Phys. 11, 104 (2021)

Ground-state energy from NRG + TSA

GSE for protocol $c_i = 20$, $c_f = 10$, $N = 10$
$N_s=600$ and $\Delta N_s = 200$ (corresponding to an initial energy cutoff of $\Lambda \approx 50$)

NRG follows TSA, but can include many more states.

Is ordering in energy a good idea?

Let's try an alternative metric...

We will order by matrix element size, between states in computational basis and the 3 lowest-lying ones from TSA:

$ \left| \langle \{\lambda\}^{(n)}_N | g_2(0) | \tilde E_j\rangle \right|, ~~j =0,1,2. $

For protocol $c_i = 20$, $c_f = 10$, $N = 10$

NRG-E versus NRG-ME

Energy ordering versus Matrix Element ordering

GSE for protocol $c_i = 20$, $c_f = 10$, $N = 10$

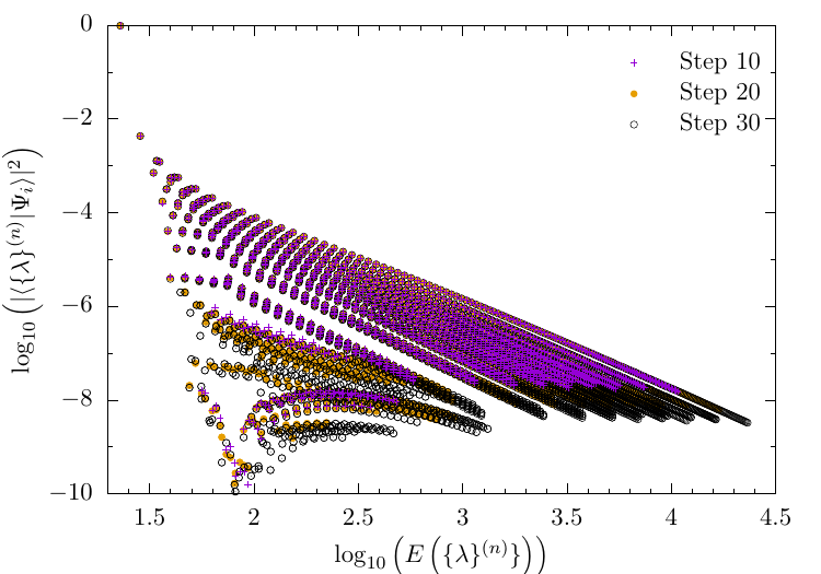
NRG-ME: convergence of the overlaps

For protocol $c_i = 20$, $c_f = 10$, $N = 10$

Highest overlap states

For protocol $c_i = 20$, $c_f = 10$, $N = 10$

Earlier ME ordering

For protocol $c_i = 20$, $c_f = 10$, $N = 10$

Towards a "perfect" ordering

ABACUS is really efficient at computing
dynamical correlation functions

For an operator ${\cal O}$, it preferentially seeks states with high matrix elements $ \langle \{\lambda\}^{(0)}_N | {\cal O} | \{\lambda\}^{(n)}_N\rangle $

Strategy: use ABACUS idea but with metric

$ w\left(|\{\lambda\}^{(n)}_N\rangle\right) = \left\vert \frac{\langle \{\lambda\}^{(n)}_N | g_2(0) | \{\lambda\}^{(0)}_N\rangle}{ E(\{\lambda\}^{(n)}_N) - E(\{\lambda\}^{(0)}_N) + \epsilon}\right\vert $

which favours the lower end of the spectrum
($\epsilon$ is set to $0.1$ to avoid $(n)=(0)$ divergence)

HOSTS: High Overlap States Truncation Scheme

For protocol $c_i = 20$, $c_f = 10$, $N = 10$

This produces an ordering which is similar to the "back-engineered" one from the overlaps:

Energy convergence using HOSTS

For protocol $c_i = 20$, $c_f = 10$, $N = 10$
  • ABACUS short run
  • 390K states generated
  • preferentially ordered
  • NRG performed with $N_{NRG}=800$ and $\Delta N = 160$
  • Convergence of $E_0$ to under 1% achieved with only a few thousand basis states

Convergence of other quantities using HOSTS

Overlaps

For protocol $c_i = 20$, $c_f = 10$, $N = 10$

Local expectation value: $g_2$

Real-time dynamics after the quench

Return amplitude

$ \langle \Psi_i |\Psi_i(t)\rangle \approx \sum_{n=0}^{N_{\text{tot}}} e^{-\mathrm{i}E(\{\lambda\}^{(n)}t} \left\vert \langle \{\lambda\}^{(n)} | \Psi_i \rangle \right\vert^2 $

Fidelity

$ {\cal F}(t) = |\langle\Psi_i|\Psi_i(t)\rangle|^2 $

Time dependence of local observables

$ \begin{align} \langle &O(t)\rangle_i \equiv \langle \Psi_i(t) | O |\Psi_i(t)\rangle\\ & = \sum_{n,m=0}^{N_\text{tot}} e^{-\mathrm{i}t[E(\{\lambda\}^{(n)}) - E(\{\lambda\}^{(m)})]} \langle \Psi_i | \{ \lambda \}^{(m)} \rangle \langle \{ \lambda \}^{(m)} | O |\{\lambda\}^{(n)} \rangle \langle \{\lambda\}^{(n)} | \Psi_i\rangle \end{align} $

Although pretty successful, our alternative ordering still somehow relies on the perturbation being weak.

Desire: describe strongly non-perturbative quenches.

Challenge: account for contributions from important intermediate states.

Idea: keep approximate states at each step of the NRG, and select at each individual step which ones should participate, based on quadratic approximation of perturbative series.

$\rightarrow$ Matrix Element Renormalization

Matrix Element Renormalization

The overall workflow (steps 1-3 / 7):

  • Generate the computational basis via preferential state generation from the seed state $|\Omega \rangle$. Order the states in the computational basis according to the metric "ME over Ediff" to obtain $\{|\{\lambda\}^{(j)}\rangle \}$.
  • Construct a truncated Hamiltonian from the first $N_s+\Delta N_s$ computational basis states, $\big\{ |\{\lambda\}^{(1)}\rangle, \ldots, |\{\lambda\}^{(N_s+\Delta N_s)}\rangle\big\}$ and diagonalize this Hamiltonian to obtain the first approximate eigenstates $\big\{|1\rangle, \ldots , |N_s+\Delta N_s\rangle\big\}$ with energies $\{ E_1, \ldots, E_{N_s + \Delta N_s} \}$.
  • Compute the overlaps between $|\{\lambda\}^{(0)}\rangle$ and the newly acquired approximate eigenvectors $\{|1\rangle, \ldots, |N_s + \Delta N_s\rangle \}$. Then relabel the approximate eigenstates such that $|1\rangle$ refers to the approximate eigenstate with the largest overlap.

Matrix Element Renormalization

The overall workflow (step 4 / 7):

  • Take the next $\Delta N_s$ computational basis states $|\{\lambda\}^{(j)}\rangle$ and compute the second order weight for each of the approximate eigenstates $|i \rangle$ with $i>1$ obtained in previous steps: \[ w_2\left( |i \rangle \right) = \sum_{j} \frac{ \langle i | \delta H |\{\lambda\}^{(j)} \rangle \langle \{\lambda\}^{(j)} | \delta H | 1 \rangle}{( E_1 - E_{\{\lambda\}}^{(j)}) (E_1 - E_i)}. \] Here $\delta H = cR\times g_2(0)$ is the perturbing operator, the sum ranges over all the newly added computational basis states, and $E_{\{\lambda\}}^{(j)} = E(\{\lambda\}^{(j)})$ are the energies of the newly added computational basis states.

Matrix Element Renormalization

The overall workflow (steps 5 - 7 / 7):

  • Form a truncated basis consisting of $|1\rangle$, the $N_s-1$ states in $\{|i \rangle \big\}_{i>1}$ with the largest $w_2$-weight, and the $\Delta N_s$ computational basis states introduced in step 4, construct the truncated Hamiltonian in this basis and diagonalize it to obtain $N_s + \Delta N_s$ new approximate eigenstates $\{|1'\rangle, \ldots, |(N_s + \Delta N_s)'\rangle\}$.
  • Compute the overlaps between $|1\rangle$ and the newly acquired approximate eigenvectors, and replace $|1\rangle$ by the approximate eigenvector with the largest overlap. Replace the remaining approximate eigenvectors used to form the truncated basis in step 5 with the remaining newly obtained approximate eigenvectors.
  • Return to the fourth step.

Convergence using MERG

Overlaps

For protocol $c_i = 20$, $c_f = 10$, $N = 10$

Energy

MERG for a harder quench

For protocol $c_i = 100$, $c_f = 3.7660$, $N = 6$

Generalized Hydrodynamics

Quenches from spatially inhomogeneous states

  • B. Bertini, M. Collura, J. De Nardis and M. Fagotti, PRL 117, 207201 (2016)
  • O. A. Castro-Alvaredo, B. Doyon and T. Yoshimura, PRX 6, 041065 (2016)
  • B. Doyon and T. Yoshimura, SciPost Phys. 2, 014 (2017)


After initial dephasings: 'hydrodynamic' evolution described by local GGE

$\partial_t \rho (\lambda) + \partial_x (v^{\tiny \mbox{eff}}(\lambda) \rho (\lambda)) = 0$

with effective velocities determined by the dressing equation

$v^{\tiny \mbox{eff}}(\lambda) = v^{\tiny \mbox{gr}}(\lambda) + \int d\lambda' \frac{\varphi(\lambda, \lambda')}{p'(\lambda)} \rho(\lambda') \left(v^{\tiny \mbox{eff}}(\lambda') - v^{\tiny \mbox{eff}}(\lambda)\right)$

Effective dynamics:
"flea gas" of scattering quasiparticles

Flea gas GHD
for the Quantum Newton's Cradle

JSC, B. Doyon, J. Dubail, R. Konik and T. Yoshimura, SciPost Phys. 6, 070 (2019)

Short time scales:

Flea gas GHD
for the Quantum Newton's Cradle

JSC, B. Doyon, J. Dubail, R. Konik and T. Yoshimura, SciPost Phys. 6, 070 (2019)

Longer time scales:

Generalized Hydrodynamics with space/time-dependent potentials

Phys. Rev. Lett. 123, 130602 (2019)

Adiabatic formation of bound states in the 1d Bose gas

Phys. Rev. B 103, 165121 (2021)

Observing Bethe strings in an attractive Bose gas far from equilibrium

Milena Horvath, Alvise Bastianello, Sudipta Dhar, Rebekka Koch, Yanliang Guo,
Jean-Sébastien Caux, Manuele Landini, and Hanns-Christoph Nägerl, arXiv:2505.10550

Observing Bethe strings in an attractive Bose gas far from equilibrium

Milena Horvath, Alvise Bastianello, Sudipta Dhar, Rebekka Koch, Yanliang Guo,
Jean-Sébastien Caux, Manuele Landini, and Hanns-Christoph Nägerl, arXiv:2505.10550

Quantum Spin Chains

The structure factor
of the Heisenberg chain

Quantum wake dynamics in Heisenberg

A. Scheie, P. Laurell, B. Lake, S. E. Nagler, M. B. Stone, JSC, D. A. Tennant
Nature Communications 13, 5796 (2022)

  • Inelastic neutron scattering on $K Cu F_3$
  • Really accurate data in momentum/frequency space enabling...
  • Fourier transform to real space / time
  • Look specifically at high-energy features

Quantum wake dynamics in Heisenberg

A. Scheie, P. Laurell, B. Lake, S. E. Nagler, M. B. Stone, JSC, D. A. Tennant
Nature Communications 13, 5796 (2022)

  • Quantum wake:
    a local, coherent, long-lived, quasiperiodically oscillating magnetic state emerging out of the distillation of propagating excitations following a local quantum quench

Quantum wake dynamics in Heisenberg

Quantum wake dynamics in Heisenberg

Quantum wake dynamics in Heisenberg

Selectively (patch-wise) Fourier transforming: $k=\pi/2$ (mod $2\pi$) states are responsible for the quantum wake dynamics

Beyond the reach of any low-energy method

Not mentioned here

  • Renormalization from integrability
  • (Nonlinear) Luttinger liquids
  • Lessons for field theory
  • "Bethe liquid theory"
  • Quasisolitons in quantum gases

Challenges and Opportunities

  • Detailed phenomenology for quantum gases
  • Transport: (sub/super)diffusion
  • Ultrafast magnetism
  • Central spin / NV centers
  • Floquet dynamics
  • Driven dissipative systems
  • Quantum circuits

Thanks!